We are pleased to share our recent journal publication titled
“Quality over quantity: a data-centric survey of annotation errors in object detection datasets”,
published in Artificial Intelligence Review.
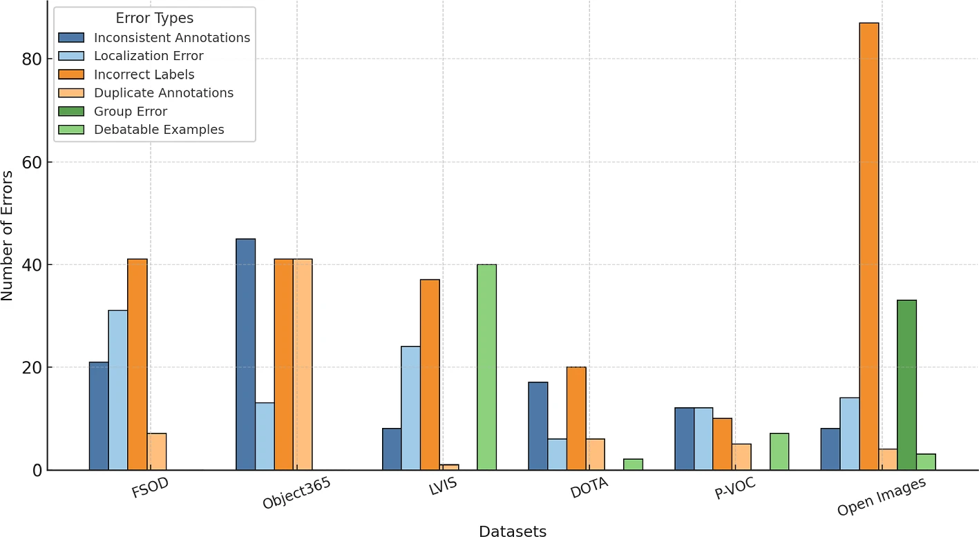
This paper provides a comprehensive data-centric analysis of annotation errors in object detection datasets, highlighting their impact on model performance and proposing best practices for dataset quality improvement.
